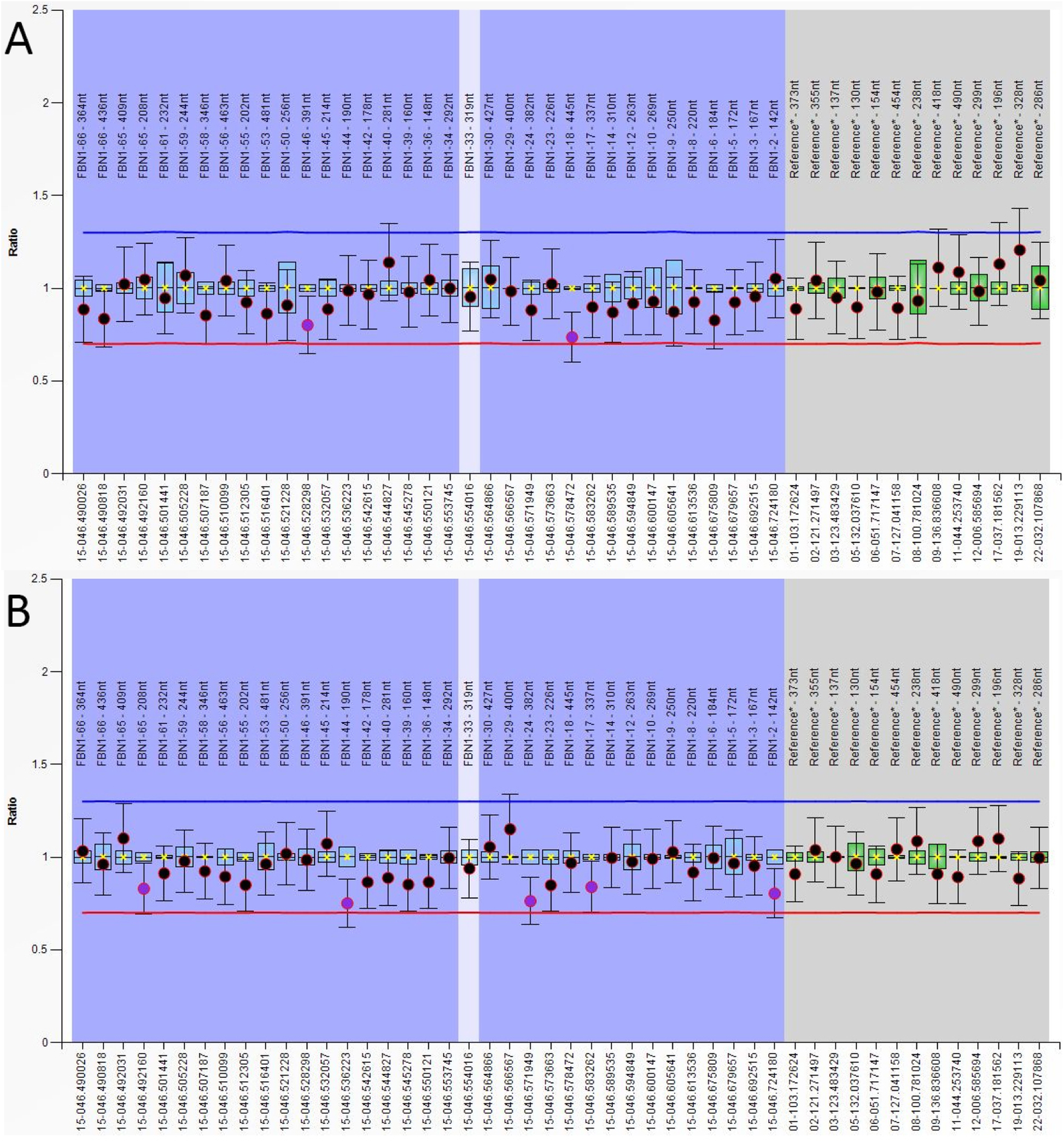
Fig. 4From: A nonsense variant in FBN1 caused autosomal dominant Marfan syndrome in a Chinese family: a case reportMLPA testing results of the patient. a MLPA P065 Marfan Syndrome-1 probemix; b MLPA P066 Marfan Syndrome-2 probemixBack to article page